SEJARAH
AKUSTIK
Akustik merupakan teori
yang membahas tentang gelombang suara dan perambatannya dalam suatu medium.
Sedangkann akustik kelautan adalah teori yang membahas tentang gelombang suara
dan perambantannya dalam suatu medium air laut. Akustik kelautan merupakan satu
bidang kelautan yang mendeteksi target di kolom perairan dan dasar
perairan dengan menggunakan suara sebagai medianya. Studi kelautan dengan
menggunakan akustik sangat membantu peneliti untuk mengetahui objek yang berada
di kolom dan dasar perairan. Objek ini dapat berupa plankton, ikan, jenis
subtrat maupun kandungan minyak yang berada di bawah dasar perairan. akustik
kelautan merupakan bagian dari instrumentasi kelautan yang digunakan untuk
mendeteksi benda, biota laut, ataupun lapisan sedimen yang berada di dasar
lautan yang secara umum terbagi dalam sistem SONAR dan ECHOSOUNDER. Sistem
Sonar memancarkan gelombang suara secara horizontal sehingga dapat mendeteksi
misalnya benda-benda yang berada di depan kapal ataupun di belakang kapal.
sedangkan Echosounder memancarkan gelombang suara secara vertikal sehingga
dalam aplikasinya sering digunakan untuk mendeteksi keberadaan ikan atau
benda-benda yang berada di bawah kapal.
Sejarah perkembangan
akustik kelautan dimulai sekitar tahun 1490 berasal dari catatan
harian Leonardo da vinci yang menuliskan : “Dengan menempatkan ujung
pipa yang panjang didalam laut dan ujung lainnya di telinga anda, dapat
mendengarkan kapal-kapal laut dari kejauhan”. Ini mengindikasikan bahwa suara
dapat berpropagasi di dalam air. Ini yang disebutkan dengan Sonar pasif (
passive Sonar) karena kita hanya mendengar suara yang ada. Pada abad ke
19, Jacques and Pierre Currie menemukan piezoelectricity, sejenis kristal yang
dapat membangkitkan arus listrik jika kristal tersebut ditekan, atau jika
sebaliknya jika kristal tersebut dialiri arus listrik mak kristal akan
mengalami tekanan yang akan menimbulkan perubahan tekanan di permukaan
kristal yang bersentuhan dengan air. Selanjutnya signal suara akan
berpropagansi didalam air. Ini yang selanjutnya disebut dengan Sonar
Aktif( Active Sonar).
Akustik
diklasifikasikan menjadi dua, yaitu akustik pasif dan akustik aktif. Akustik
pasif merupakan suatu aksi mendengarkan gelombang suara yang datang dari
berbagai objek pada kolom perairan, biasanya suara yang diterima pada frekuensi
tertentu ataupun frekuensi yang spesifik untuk berbagai analisis. Pasif
akustik dapat digunakan untuk mendengarkan ledakan bawah air (seismic), gempa
bumi, letusan gunung berapi, suara yang dihasilkan oleh ikan dan hewan lainnya,
aktivitas kapal-kapal ataupun sebagai peralatan untuk mendeteksi kondisi di
bawah air (hidroakustik untuk mendeteksi ikan).
Akustik aktif memiliki
arti yaitu dapat mengukur j arak dari objek yang dideteksi dan ukuran
relatifnya dengan menghasilkan pulsa suara dan mengukur waktu tempuh dari pulsa
tersebut sejak dipancarkan sampai diterima kembali oleh alat serta dihitung
berapa amplitudo yang kembali. Akustik aktif memakai prinsip dasar SONAR
untuk pengukuran bawah air. Akustik aktif seperti split-beam
system dapat mendeteksi organisme yang berukuran kecil (contoh:krill),
dengan tanpa batasan ukuran. Posisi dari ikan dapat dideteksi secara akurat
dengan menggunakan split beam system, dapat juga digunakan untuk
menghitung target strength, kecepatan jelajah serta arah pergerakan dari
suatu objek. Dengan perkembangan zaman yang begitu pesat, ilmu
akustik juga berkembang sejalan dengan kebutuhan manusia. Arah penelitian
dari akustik aktif termasuk penemuan multibeam, multi-frekuensi, dan “high
frequency imaging system”.
Gambar
1. Sonar
Perkembangan akustik
yang sangat pesat pada saat Perang Dunia pertama terutama digunakan untuk
pendeteksian kapal-kapal selam yang ada dibawah laut. Setelah selesainya Perang
Dunia II, akustik tidak hanya digunakan untuk keperluan militer saja, tetapi akustik
banyak digunakan untuk keperluan non-militer diantaranya mempelajari
proses perambatan suara didalam medium air; penelitian sifat-sifat akustik dari
air dan benda-benda bawah air; pengamatan benda-benda dari echo yang mereka
hasilkan; pendeteksian sumber-sumber suara bawah air; komunikasi dan penetapan
posisi dengan alat akustik bawah air.
Keunggulan
Metode Akustik
· Berkecepatan
tinggi (great speed), à “quick assessment method” ----- manual
· Estimasi
stok ikan secara langsung (direct estimation) ----- tanpa analisis parameter
lingkungan
· Memungkinkan
memperoleh dan memproses data secara real time
· Akurasi
dan ketepatan tinggi (accuracy and precision).
· Tidak
berbahaya atau merusak ----- tidak menyentuh objek
· Bisa
digunakan jika metode lain tidak bisa / tidak mungkin dilakukan.
Penerepan Teknologi Akustik
· Di
bidang kelautan penerapan teknologi akustik bawah air misalnya untuk
eksplorasi dan eksploitasi sumberdaya non-hayati seperti :
· Pengukuran
kedalaman dasar laut (Bathymetry)
· Pengidentifikasian
jenis-jenis lapisan sedimen dasar laut (Subbottom Profilers)
· Pemetaan
dasar laut (Sea bed Mapping)
· Pemetaan
habitat dasar laut (Habitat Mapping)
· Pencarian
kapal-kapal karam di dasar laut
· Penentuan
jalur pipa dan kabel dibawah dasar laut
· Analisa
dampak lingkungan di dasar laut
Untuk megetahui jarak
suatu objek maka terlebih dahulu menentukan ukan selang waktu antara gelombang
suara yang dipancarkan dengan gelombang suara yang diterima, sehingga
transducer dapat memperkirakan jarak dan orientasi dari suatu objek yang
dideteksi dengan rumus berikut:
Jarak
= (Kecepatan suara x waktu)/2
Instrument yang biasa
digunakan dalam akustik antara lain ADCP (Acoustic Doppler Currents Profiler)
yang berfungsi untuk mengukur arus dengan prinsip Doppler dan CTD (Conductivity,
Depth, Temperature) yang berfungsi untuk mengukur konduktivitas, kedalaman dan
suhu perairan.
AFTERNOO
EFFECT adalah jenis kerugian kinerja sonar yang ditemui selama
sore dan malam hari di hari yang cerah dan tenang. Hal ini disebabkan oleh
kenaikan suhu di dekat bagian atas dari lapisan campuran isotermal,
meningkatkan kecepatan suara di sana dan begitu pembiasan sinar ke bawah suara,
jauh dari target sonar. Profil kenaikan suhu diatur oleh kecepatan angin, sinar
matahari dan faktor meteorologi lainnya, sehingga prediksi Afternoon Effect
harus menjadi perpanjangan dari peramalan meteorologi. Namun ada saat ini tidak
ada metode untuk menghitung profil temperatur dari informasi meteorologi.
Sebuah model mix layer disajikan untuk memenuhi kebutuhan ini.
KECEPATAN
SUARA
secara umum,
berdasarkan pembagian pengaruh faktor oseanography terhadap kecepatan suara,
laut dibagi menjadi 3 zona secara vertikal. pertama zona 1, dimana kecepatan
suara meningkat akibat peningkatan tekanan karena kedalaman bertambah. zona 2,
kecepatan suara menurun drastis akibat adanya daerah thermocline. zona 3,
kecepatan suara meningkat akibat tekanan bertambah dan temperatur kedalaman
relatif konstan. itu adalah profile kecepatan suara under water.
Kecepatan suara adalah
istilah yang digunakan untuk menyebut kecepatan gelombang suara yang
melalui medium elastis.
Kecepatan ini dapat berbeda tergantung medium yang dilewati (misalnya suara
lebih cepat melalui air daripada udara),
sifat-sifat medium tersebut, dan suhu.
Namun, istilah ini lebih banyak dipakai untuk kecepatan suara di udara. Pada ketinggian air laut,
dengan suhu 21 °C dan kondisi atmosfer normal,
kecepatan suara adalah 344 m/detik (1238 km/jam). Kecepatan suara akan
lebih cepat melaju di air dan
di benda padat. Kecepatan suara di air adalah 4.3 kali
lipat kecepatan di udara, yaitu 1.484 m/detik.
Kecepatan suara di besi adalah 15 kali lipat kecepatan di udara, yaitu 5.120
m/detik.
Jika dibandingkan
dengan cepat rambat udara, di laut kecepatan rambatnya lebih cepat 4x lipat
dibangingkan dengan cepat rambat di udara. Hal tersebut diakibatkan partikel
air laut lebih rapat dibandingkan dengan di udara yang lebih renggang.
Sedangkan di darat (zat padat) lebih cepat lagi cepat rambat di laut karena
benda padat kerapatannya paling tinggi diantara medium yang lain.
Tabel
cepat rambat bunyi pada medium tertentu
Sumber: http://andrynugrohoatmarinescience.wordpress.com/category/suara-di-laut/
Semakin dalam laut
semakin besar kerapatan atau tekanan air bertambah besar.Bila kerapatan berubah
kecepatan gelombang suara berubah pula. Kecepatan gelombang suara sangat
dipengaruhi oleh temperatur, salinitas dan kedalaman. Kecepatan suara dapat
dihitung menggunakan rumus :
C
= 1449,2 + 4,6T - 0,055T2 + 0,00029T3 + (1,34 - 0,010T)(S-35) -
0,016Z
dengan : C = Kecepatan suara (m/s)
T
= Suhu (°C)
S
= Salinitas (psu)
Z
= Kedalaman (m)
Gambar
2. Profil Kecepatan Suara
Sumber:
MEDITEK UKRIDA TNI-AL
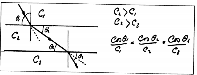
Karena laut dianggap
terdiri dari lapisan-lapisan air yang mempunyai temperatur, salinitas,
kedalaman sendiri. maka sesuai dengan lapisan-lapisan tersebut sesuai dengan
persamaan diatas memiliki kecepatan gelombang suara yang erlainan juga. Menurut
hukum snelius suatu gelombang yang berpindah dari meium lain, maka gelombang
akan ditransmisikan. Dan bila sudut datang lebih kecil dari sudutkriti maka
gelombang aakn dipantulkan.
Gambar 3. Hukum Snelius
Sumber: MEDIETK UKRIDA TNI-AL
Jika
masing-masing lapisan air memiliki kecepatan perambatan sendiri-sendiri, maka
gelombang akan mengalami pembiasan berturut-turut setiap melewati lapisan yang
berlainan sehingga perambatan gelombang suara tidak lagi menurut garis lurus
tetapi garis melengkung keatas atau kebawah bahkan suatu ketika dapat
dipantulkan oleh lapisan air dibawahnya.
V=s/t
dengan , s = jarak tempuh (m) , t = waktu ( s ) , dan v = cepat rambat bunyi (m/s). Satu periode gelombang menempuh jarak sejauh satu panjang gelombang. Maka , jika t = T , maka s = lambda . Maka bentuk lain ungkapan cepat rambat gelombang adalah
v = Tλ oleh karena f = 1/T , maka
v = λf
dengan lambda = panjang gelombang bunyi (m)
T = periode gelombang bunyi (s)
F = ferkuensi gelombang bunyi (Hz)
Berarti rumus kecepatan ada tiga macam dan penggunaanya tergantung dengan apa yang diketahui dalam soal. misal diketahui jarak tempuh (s) dan waktunya (t) maka menggunakan rumus v = s/t .
Gambar 4. Penentuan Jarak dengan Suara
Sumber: http://mediabelajaronline.blogspot.com/2010/03/getaran-gelombang-dan-bunyi-untuk-smp.html
Suhu medium juga
merupakan faktor penting dalam menentukan cepat rambat bunyi. Pada saat suhu
zat meningkat, molekul-molekulnya bergerak lebih cepat sehingga frekuensi
tumbukan antar partikel lebih banyak. Meningkatnya tumbukan molekul ini akan
lebih banyak memindahkan energi dalam waktu yang lebih singkat. Ini
memungkinkan gelombang bunyi berpindah lebih cepat. Bunyi merambat melalui
udara dengan cepat rambat 344 m/s, pada suhu 20° C, namun hanya dengan cepat
rambat 332 m/s, pada suhu 0° C. Setelah membahas faktor-faktor yang
mempengaruhi cepat rambat bunyi, jawablah pertanyaan dalam Gambar 10.29. Cepat
rambat bunyi untuk medium tertentu dan suhu tertentu besarnya tetap. Gerak
dengan kecepatan tetap ini disebut gerak lurus beraturan (GLB).
Di laut sendiri, pada
lapisan Mix Layer, pengaruh suhu sangat besar karena pada lapisan ini pengaruh
dari sinar matahari terhadap suhu permukaan sangat besar sehingga mengakibatkan
suhu di Mix Layer tinggi. Pada lapisan Termoklin pun suhu masih sangat
berpengaruh, hal tersebut dikarenakan adanya perubahan suhu yang sangat
mencolok. Akan tetapi pada lapisan Deep Layer suhu tidak begitu mempengarui
karena perubahan suhu yang tidak mencolok.
b.
Tekanan
Pada tekan, setiap
penambahan kedalaman maka tekanan akan semakin tinggi. Semakin tinggi tekan
maka akan semakin tinggi cepat rambat bunyinya. Hal tersebut karena
partikel-partikel zat yang bertekanan tinggi terkompresi sehingga cepat rambat
yang dihasilkan lebih besar. Pengaruh tekan akan lebih besar dari suhu dan
salinitas pada lapisan Deep Layer.
c.
Salinitas
Cepat rambat bunyi
terhadap salinitas seharusnya berkurang seiring kenaikan salinitas karena
meningkatnya densitas. Akan tetapi kenaikan salinitas meningkatkan modulus
axial (larutan menjadi kurang kompres), sehingga tiap kenaika salinitas akan
meningkatkan cepat rambat bunyi.
d.
Densitas/Kerapatan
Makin rapat medium
umumnya semakin besar cepat rambat bunyi dalam
medium tersebut . Penyebabnya adalah makin rapat medium maka makin kuat
gaya kohesi antar-partikel . akibatnya pengaruh suatu bagian medium kepada
bagian yg lain akan mengikuti getaran tersebut dengan segera . akibatnya
perpindahan getaran terjadi sangat cepat .
Fungsi
Suara di Laut
1. Mengukur Kedalaman dan Pemetaan dasar
Laut
Untuk mengukur
kedalaman laut , kapal memancarkan bunyi ke dasar laut . pada dasar kapal
terdapat pendeteksi bunyi (detektor) . Detektor ini menghasilkan gelombang
listrik jika mendapat bunyi pantul . Ketika gelombang mengenai objek maka
sebagian enarginya ada yang dipantulkan, dibiaskan ataupun diserap. Untuk
gelombang yang dipantulkan energinya akan diterima oleh receiver. Besarnya
energi yang diterima akan diolah dangan suatu program, kemudian akan diperoleh
keluaran (output) dari program tersebut. Hasil yang diterima berasal dari
pengolahan data yang diperoleh dari penentuan selang waktu antara pulsa yang
dipancarkan dan pulsa yang diterima. Dari hasil ini dapat diketahui jarak dari
suatu objek yang deteksi. Dengan mengukur waktu yang diperlukan sejak
bunyi dipancarkan sampai ditangkap kembali oleh detektor , kedalaman laut di
bawah posisi kapal dapat ditentukan dengan demikian kedalaman laut suatu
wilayah dapat dipetakan dengan teliti .

Gambar
5. Pengukuran kedalaman dengan Echo Sounder
Sumber:
http://andrynugrohoatmarinescience.wordpress.com/category/suara-di-laut/
2. Komunikasi dengan ikan
Gelombang suara
merupakan media terbaik dalam komunikasi bawah air, karena sinyal suara tidak
dipengaruhi oleh kekeruhan sehingga spesies ikan tertentu mampu berkomunikasi
menggunakan suara dalam keadaan gelap, suara dapat merambat dengan cepat pada
jarak yang jauh, sangat terarah dan tidak dipengaruhi oleh batu atau terumbu
karang. Selain sebagai tingkah laku komunikasi, suara diproduksi juga sebagai
efek samping dari tingkah laku ikan seperti tingkah laku makan atau pergerakan
ikan. Suara ikan cukup beragam, tergantung pada spesiesnya. Individu spesies
bisa mempunyai lebih dari satu tipe suara.
Karakter dari suara
yang dihasilkan ikan memiliki nilai-nilai yang sangat berbeda, hal ini
mengingatkan pada suara drum, suara katak, suara dengusan, suara perut. Hal
tersebut digunakan untuk membagi suara ikan kedalam bidang biologi, contohnya
yang dihasilakn oleh ikan pada beberapa pola adaptasi mekanik yang signifikan
selama pergerakan, mencari makan, bersembunyi di dalam tanah, dan sebagainya.
Penggunaan suara dalam komunikasi adalah hal yang biasa karena ikan memiliki
pendengaran dalam yang tajam. Ikan menghasilkan suara dengan tiga cara utama,
yaitu dengan pergerakan tulang (stridulasi), vibrasi gelembung renang dan efek
yang terjadi karena aktifitasnya yang termasuk ke dalam golongan suara
hidrodinamik. Suara hidrodinamik dihasilkan oleh ikan yang aktif berenang, atau
kecepatan berputar. Walaupun banyak gangguan yang direkam pada Hydrophone yang
ditimbulkan oleh turbulensi air, suara yang kuat sering kali dapat dideteksi
dari jarak beberapa meter. Ketika ikan membuat pergerakan renang yang cepat
maka dihasilkan pulsa dengan tekanan yang cepat.
3. Mengetaui Ikan di Bawah Laut
Dengan mengarahkan
gelombang bunyi ke dalam laut kita dapat mengetahui ikan yang di bawah laut.
Sebagian gelombang akan dipantulkan oleh ikan-ikan yang berenang di bawah
permukaan laut . kita dapat membedakan gelombang pantul benda yang diam dan
benda yang bergerak.
SHADOW
ZONE
Akibat adanya refraksi
variasi vertikal dari kecepatan suara di dalam laut selanjutnya menghasilkan
apa yang disebut dengan shadow zone dan sound channel. nah, di shadow zone ini
ada sedikit keunikan, dimana gelombang suara dapat dibelokan ke atas atau ke
bawah sehingga sulit dideteksi, karena itulah pada zona ini banyak digunakan
untuk persembunyian kapal selam agar tidak terdeteksi oleh kapal lain.
Shadow Zone ini
adalah daerah dimana temperatur dan salinitas laut pada lapisan tersebut dapat
memantulkan gelombang suara yang datang. Selain hal tersebut belakangan ini
kapal selam juga sudah dilengkapi bahan material yang mampu mengakibatkan
minimnya pemantulan gelombang suara dan juga teknologi jamming,
yang dapat mengacaukan dan merusak sistem SONAR yang ada.
Gambar
6. Shadow Zone
Shadow Zone adalah
suatu wilayah dimana gelombang suara tidak dapat merambat atau lemah sehingga
hampir tidak dapat merambat dalam suatu medium. Menurut Urick (1983) di kolom
perairan terjadi pembelokan gelombang suara (refraksi) yang terjadi karena
perbedaan kedalaman, salinitas dan suhu ait laut. Pengaruh yang paling nyata
terlihat jika terjadi kenaikan suhu air laut sebesar 1 C0 akan menyebabkan
meningkatnya kecepatan suara sebesar 1m/detik. Akibatnya jika suhu meningkat
menurut kedalaman maka gelombang suara yang dipancarkan akan cenderung
dibelokan ke arah permukaan air.
Sebaliknya jika suhu
menurun karena kedalaman maka gelombang suara akan cenderung dibelokan ke dasar
perairan. Karena terjadi pembelokan gelombang suara ke permukaan dan ke dasar
perairan, maka terdapat wilayah yang tidak terjadi perambatan gelombang suara
yang disebut shadow zone. Jarak dari sumber suara ke shadow zone ditentukan
oleh laju perubahan suhu terhadap kedalaman, kedalaman sumber suara, dan
kedalaman penerima suara.